Research Paper Volume 3, Issue 12 pp 1206—1212

Relationship of spindle assembly checkpoint fidelity to species body mass, lifespan, and developmental rate

class="figure-viewer-img"

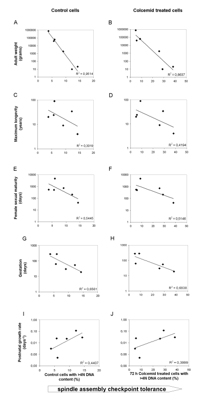
Figure 3. Correlation among the spindle assembly checkpoint (SAC) tolerance with several species parameters. The tolerance (defined as a lack of stringency) of the SAC is graphed as percent of cells with >4N DNA content in control cells (panels A, C, E, G, I) or cells treated for 72 h with Colcemid. (panels, B, D, F, H, J). Adult weight, maximum longevity, female sexual maturity, gestation length and postnatal growth rate were all from the AnAge database [22], with the exception of human longevity that was given a value of 90 to account for the fact that human are the only species with a very large available data set and 90 years, which more accurately reflects a value for a random relatively small sample of humans. Measure units are indicated. Postnatal growth rates are expressed in days−1 and, as stated in the AnAge database, they were calculated by fitting empirical data taken from published growth curves to Gompertz function. See legend of Figure 2 and methods section for information on cell treatment.