Research Perspective Volume 5, Issue 10 pp 782—788

Aging on a different scale – chronological versus pathology-related aging

class="figure-viewer-img"

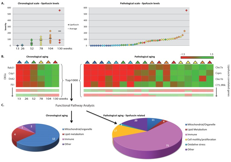
Figure 2. Functional pathways analyses on chronological and pathology-related scale. (A) Pathological age-related parameter lipofuscin accumulation was scored at regular intervals during aging. On average per age group lipofuscin levels increase with aging (left panel), however individual differences between chronological ages are notable (right panel). (B) Gene expression profiles were investigated according to a chronological scale (left panel, DEGs = differentially expressed genes) and pathological scale (right panel). For the latter, gene expression profiles are ranked according to correlation to the severity of the pathological parameter. (C) Functional genomics analyses using the top1000 of either chronological age-related genes or pathology-related genes indicate that besides overlapping responses, also differences are visible, e.g. immune response appeared highly correlated to hepatic lipofuscin accumulation. Numbers in diagrams represent the number of pathway hits.