Research Paper Volume 7, Issue 10 pp 882—892

Excess body weight increases the burden of age-associated chronic diseases and their associated health care expenditures

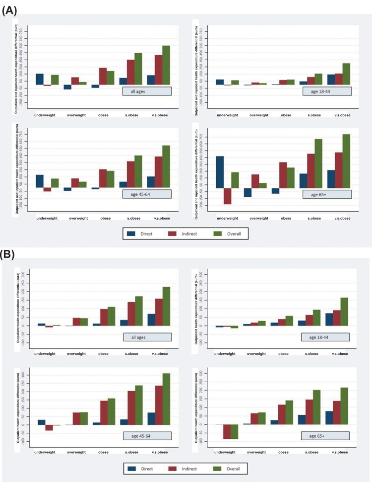
class="figure-viewer-img"

Figure 1. Total (a) and outpatient (b) health care expenditure. Decomposition of differences in health care expenditure (direct, indirect and overall costs) by age group and BMI category compared to normal‐weight individuals (euro per year) for outpatient (b) and total (a) health expenditure. Note: - Indirect marginal effects for each BMI category were computed as the sum of nonlinear combinations of parameters estimated within each pathology‐specific equation with the respective pathology‐specific parameter estimated within the health expenditure equation. ‐ Direct marginal effects for each BMI category were obtained as relative parameter estimates from the health expenditure equation. ‐Overall marginal effects for each BMI category was computed as the sum of the respective direct and indirect marginal effects.