Research Paper Volume 9, Issue 4 pp 1096—1129

Influence of omega-3 fatty acids on skeletal muscle protein metabolism and mitochondrial bioenergetics in older adults

class="figure-viewer-img"

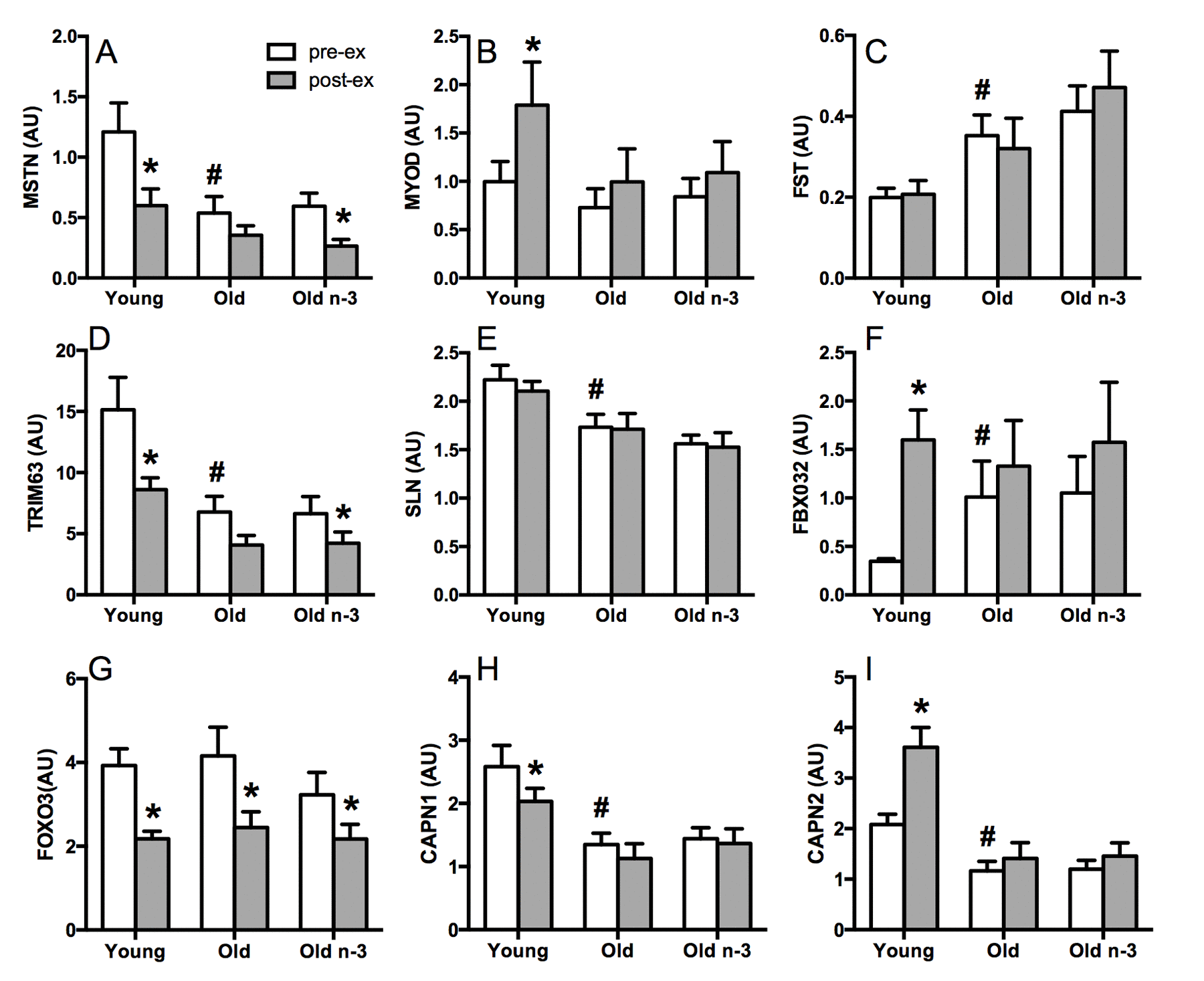
Figure 3. Selected gene transcripts related to muscle protein turnover. Gene expression was measured in skeletal muscle by RT-PCR. At baseline, pre-exercise, older adults demonstrated lower expression of myostatin (A), tripartite motif containing 63 (D), sarcolipin (E), and calpain 1 (H). Calpain 2 (I), follistatin (C) and F-box protein 32 (F) were higher in older adults at baseline. Several genes exhibited significant changes in expression with exercise in young but not old (A, B, D, F, H, I) with no effects of n3-PUFA. FOXO3B; forkhead box O3B pseudogene, forkhead box O3, MSTN; myostatin, TRIM 63; tripartite motif containing 63, E3 ubiquitin protein ligase, SLN; sarcolipin, CAPN1; calpain 1, large subunit, MYOD1; myogenic differentiation 1, FBX032; F-box protein 32, CAPN2; calpain 2, large subunit, FST; follistatin, pre-ex; pre-exercise, post-ex; post-exercise. * Significantly (p≤0.05) different from corresponding pre-exercise value. # Significantly different from young. Data bars are mean ± SEM.