Research Paper Volume 10, Issue 10 pp 2900—2910

Can mesenchymal stem cell lysate reverse aging?

class="figure-viewer-img"

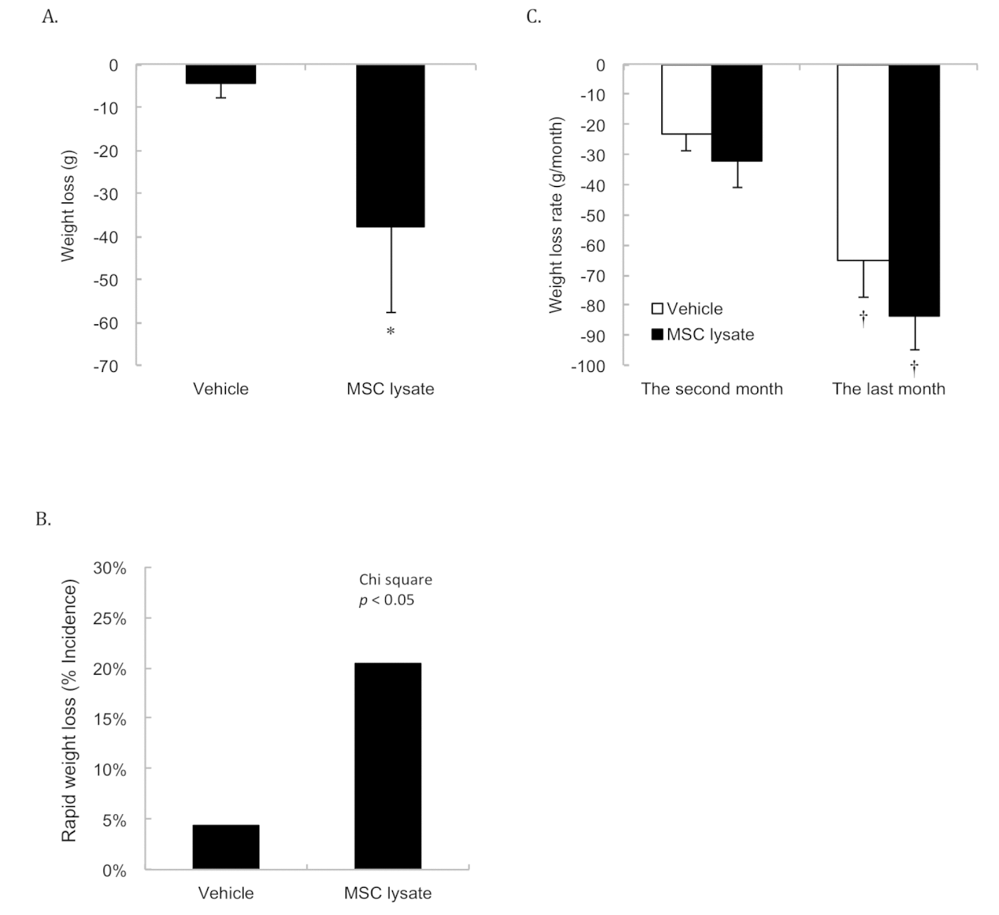
Figure 3. Body weight changes. Survivors until 15th months were included for the Pre-Post comparison (Vehicle: N = 43; MSC lysate: N = 39), measured at 9 months and 15 months of age. Significant weight loss was observed in the MSC lysate group following 2 sessions of intervention in the first 3 months (p ≤ 0.05) (A). Greater incidence of weight loss (more than 7% of peak body weight during their lifetime) in the MSC lysate group (9 out of 46) than that in the vehicle group (2 out of 46) was observed (Chi-square, p ≤ 0.05) (B). Accelerated weight loss occurred 1 month before death is the common feature for aged rats regardless the treatment groups (Vehicle: N = 46; MSC lysate: N = 46) (C). † Significant difference against 2 months before death, p ≤ 0.05. Data for male and female rats are presented separately in Supplementary figures (Figure S3_Male and S3_Female). Abbreviation: MSC, adipose-derived mesenchymal stem cell.