Research Paper Volume 11, Issue 21 pp 9405—9423

Systematic identification of lncRNA-based prognostic biomarkers for glioblastoma

class="figure-viewer-img"

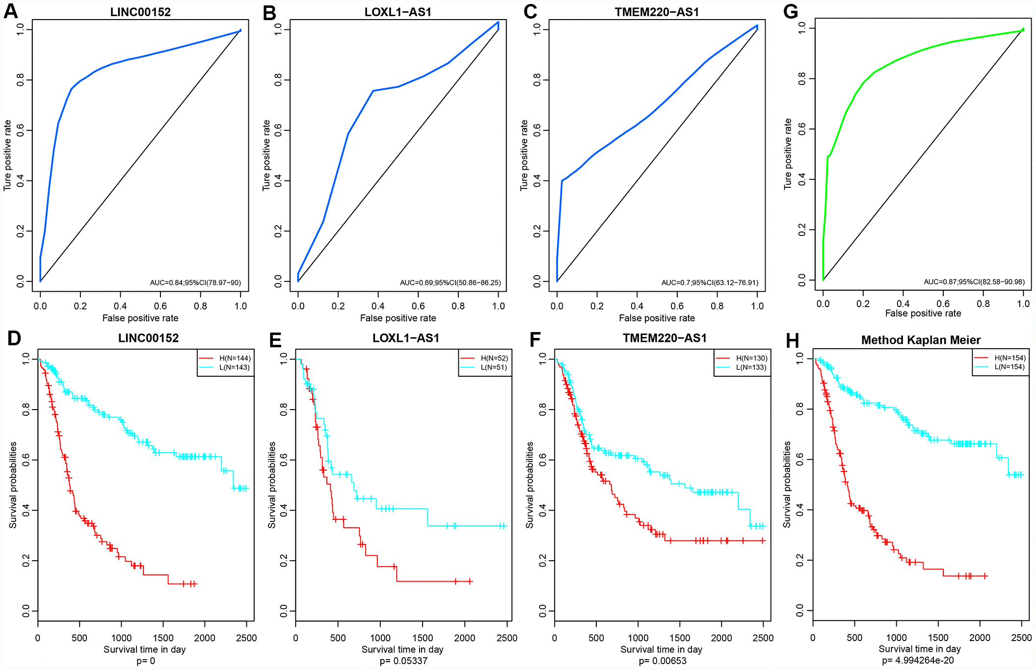
Figure 10. (AC) ROC curves of three lncRNAs: LINC00152, LOXL1-AS1 and TMEM220-AS1. (DF) KM Curves of these three lncRNAs. (G) ROC curves of this three-lncRNA model/panel. (H) The prognostic difference KM curve of the samples predicted by three lncRNA-models. Prognostic differences among them suggested that the prognosis of the high-risk group was significantly worse than that of the low-risk group (p < 0.0001