Research Paper Volume 12, Issue 3 pp 2647—2658

Association of serum retinoic acid with depression in patients with acute ischemic stroke

class="figure-viewer-img"

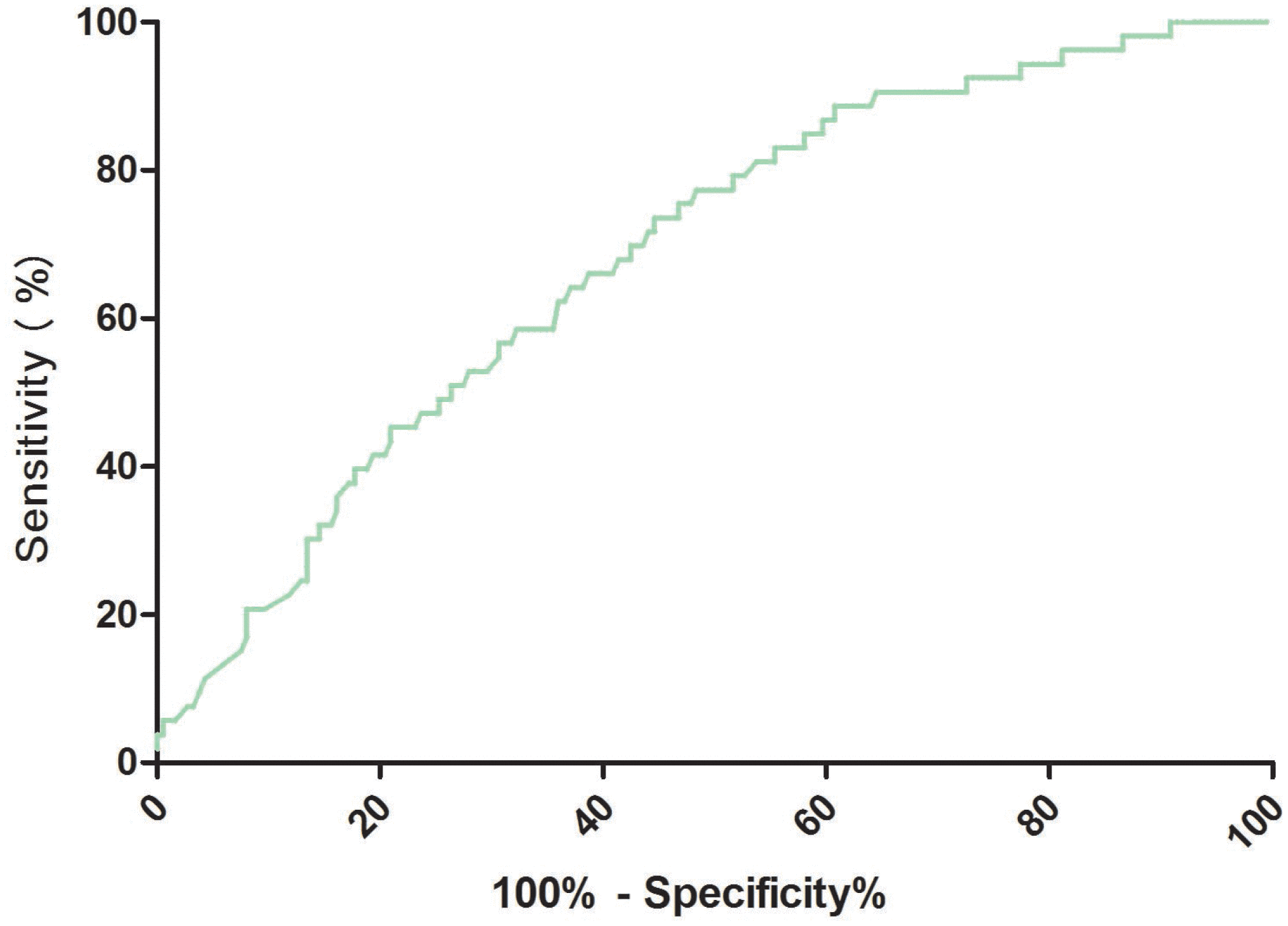
Figure 3. Receiver operator characteristic curve demonstrating sensitivity as a function of 1-specificity for predicting the PSD based on the RA serum levels. PSD= Post-stroke depression; RA=Retinoic acid.