Research Paper Volume 12, Issue 3 pp 2659—2669

Effects of resveratrol, granulocyte-macrophage colony-stimulating factor or dichloroacetic acid in the culture media on embryonic development and pregnancy rates in aged mice

class="figure-viewer-img"

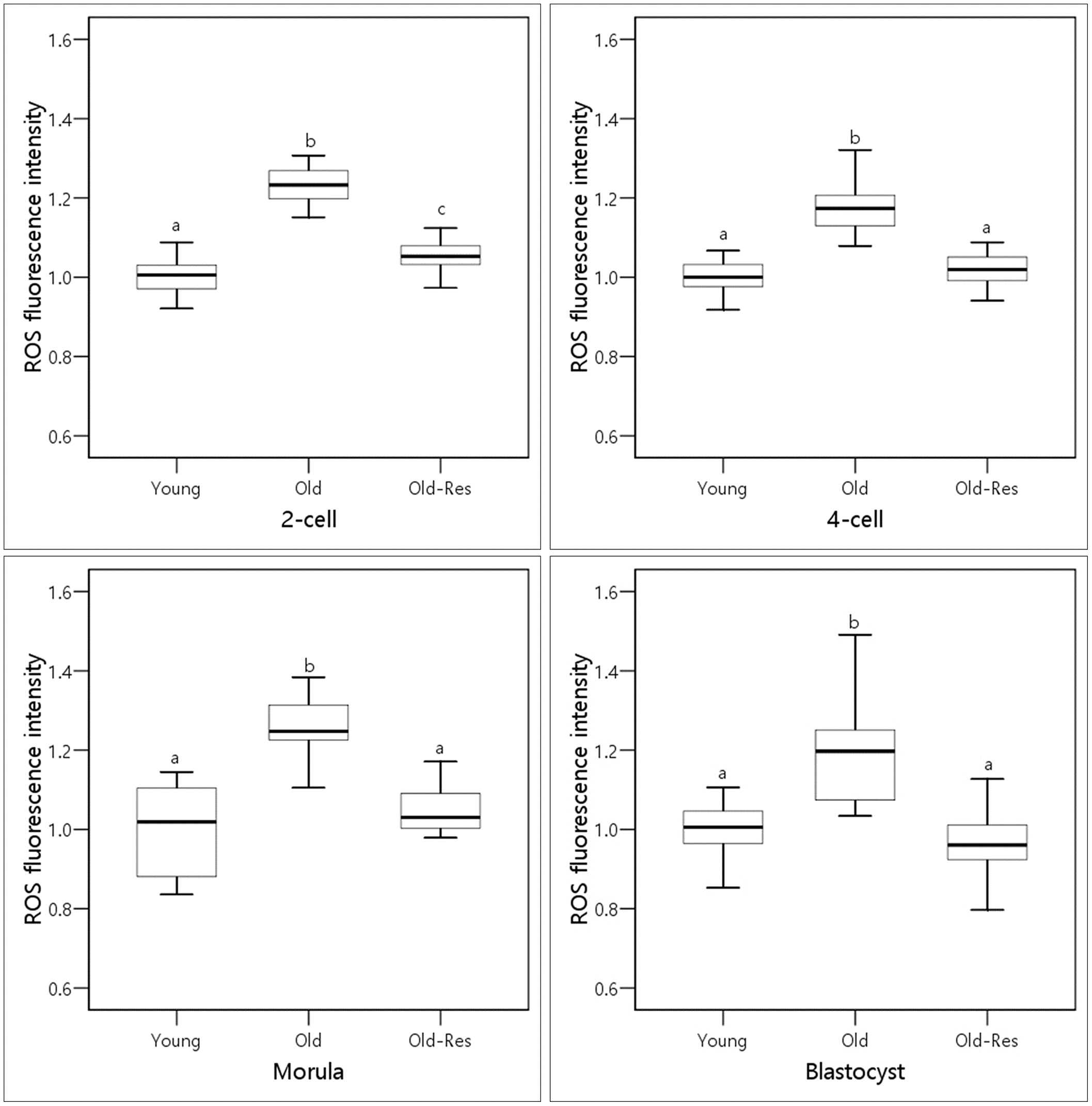
Figure 1. Boxplots representing the effect of resveratrol supplementation on ROS levels. a,b,cDifferent superscripts indicate significant differences within a stage (p < 0.01).