Research Paper Volume 12, Issue 3 pp 2857—2879

A nomogram combining long non-coding RNA expression profiles and clinical factors predicts survival in patients with bladder cancer

class="figure-viewer-img"

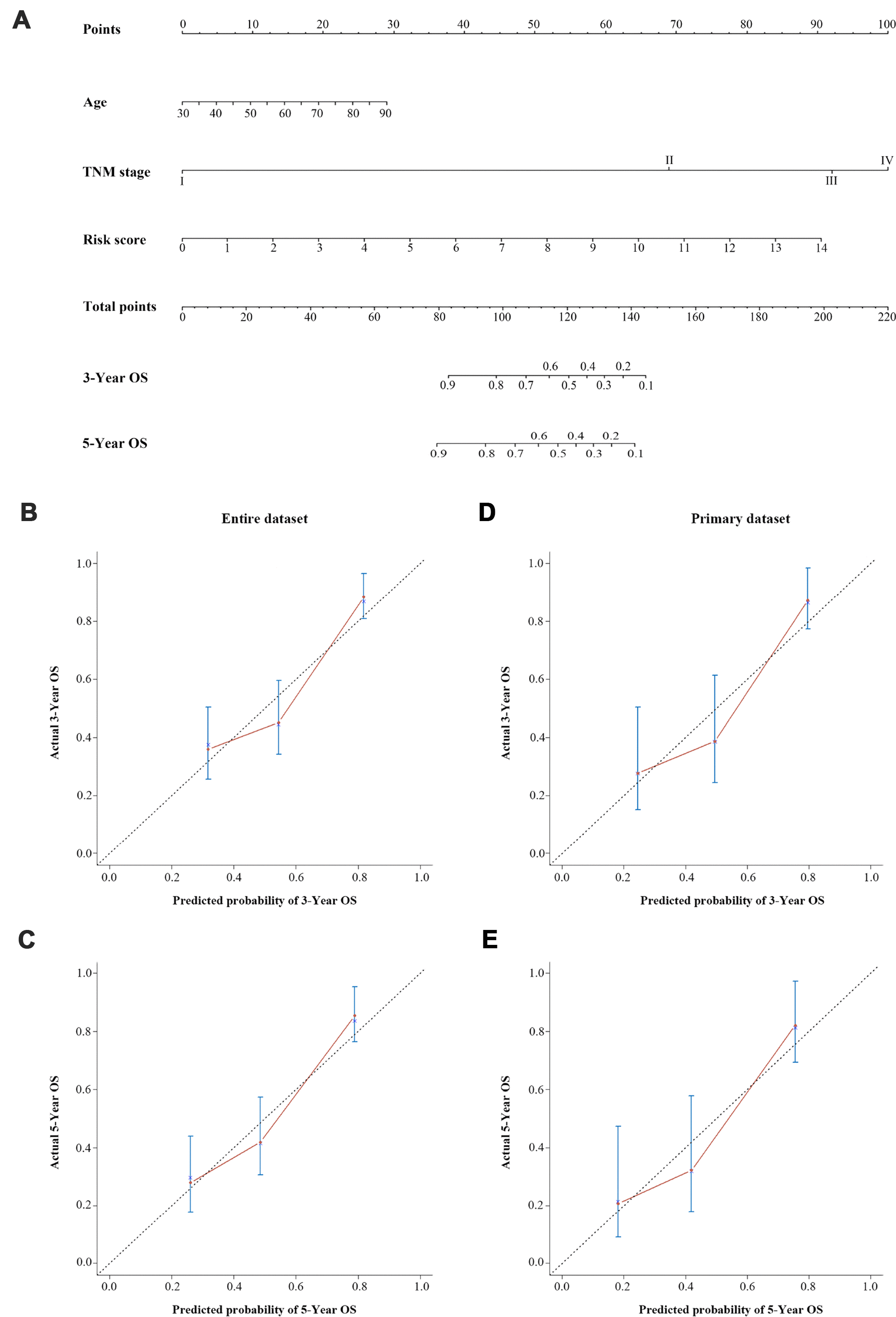
Figure 6. A three-lncRNA signature-based nomogram to predict three- and five-year OS in bladder cancer patients. (A) Nomogram for predicting OS. Instructions: Locate each characteristic on the corresponding variable axis, and draw a vertical line upwards to the points axis to determine the specific point value. Repeat this process. Tally up the total points value and locate it on the total points axis. Draw a vertical line down to the three- or five-year OS to obtain the survival probability for a specific bladder cancer patient. (BE) Calibration plots of the nomogram for predicting OS at three years (B) and five years (C) in the entire dataset, and at three years (D) and five years (E) in the primary dataset. The 45-degree dotted line represents a perfect prediction, and the red lines represent the predictive performance of the nomogram.