Research Paper Volume 12, Issue 6 pp 5479—5499

Prognostic values of immune scores and immune microenvironment-related genes for hepatocellular carcinoma

class="figure-viewer-img"

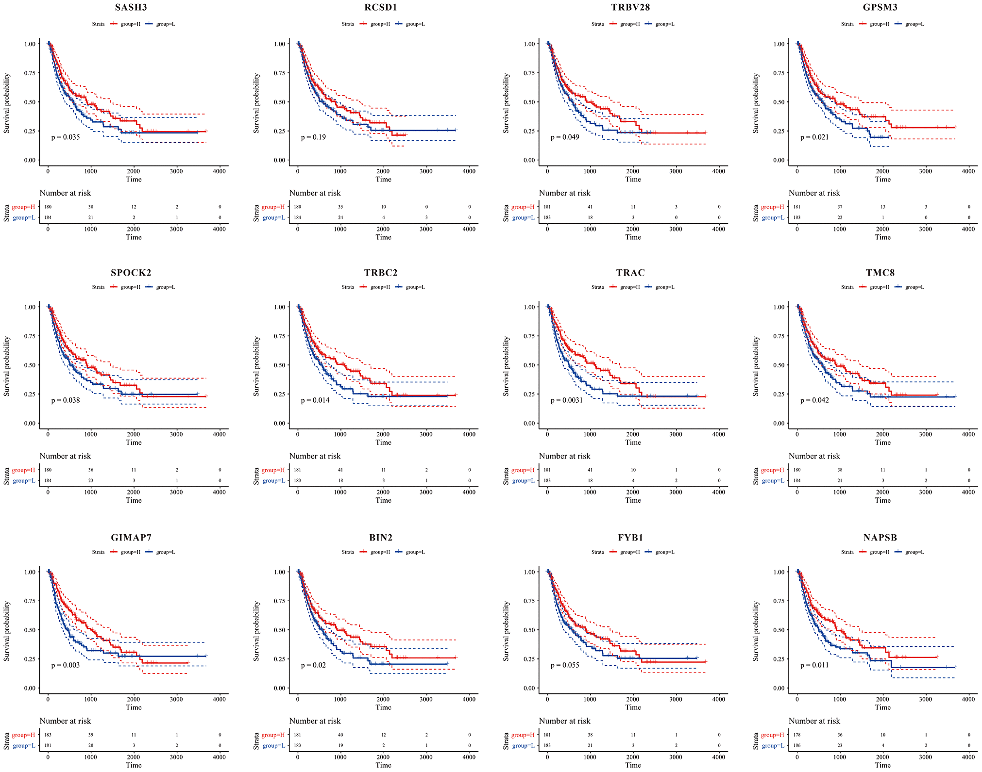
Figure 10. Kaplan-Meier curve for prognostic analysis of the 12 immune microenvironment genes. The red dotted line and blue dotted line respectively represented upper and lower limit of 95% confidence intervals of gene expression.