Research Paper Volume 13, Issue 11 pp 14843—14861

TP73-AS1 is induced by YY1 during TMZ treatment and highly expressed in the aging brain

class="figure-viewer-img"

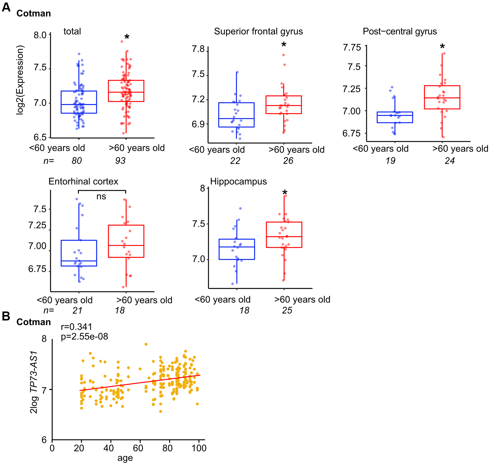
Figure 1. TP73-AS1 is highly expressed in the aging brain. (A) The levels of TP73-AS1 in the old vs. young brain are shown. Data were obtained from the R2 website and the indicated dataset (GSE48350). (B) The correlation between the expression of TP73-AS1 and age in the brain was determined using R2 and indicated dataset (GSE48350).