Research Paper Volume 15, Issue 24 pp 15657—15675

Placenta autophagy is closely associated with preeclampsia

class="figure-viewer-img"

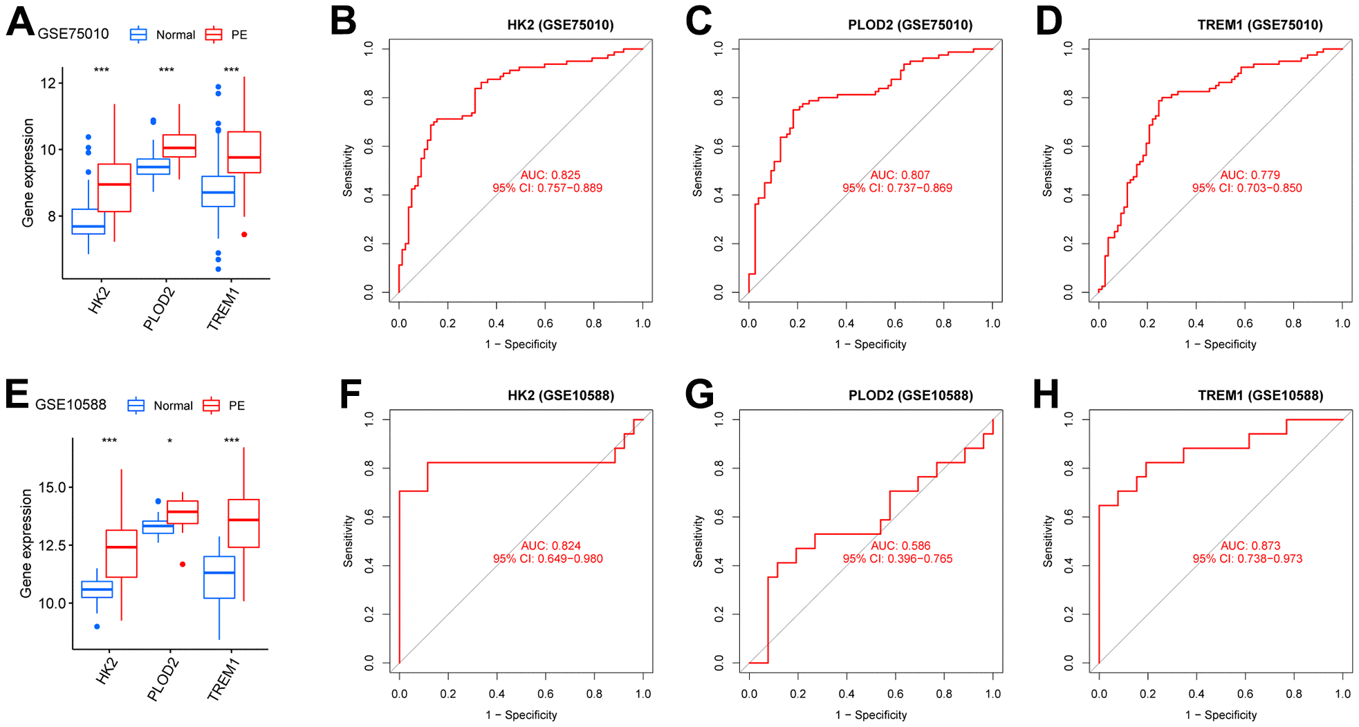
Figure 6. Verification of the PE-related diagnostic biomarkers. (A) The gene expression levels of HK2, PLOD2, and TREM1 in the test cohort (GSE75010). (BD) ROC curves for evaluating the diagnostic ability of HK2, PLOD2, and TREM1 in the test cohort (GSE75010). (E) The gene expression levels of HK2, PLOD2, and TREM1 in the validation cohort (GSE10588). (FH) ROC curves for evaluating the diagnostic ability of HK2, PLOD2, and TREM1 in the validation cohort (GSE10588). ROC, receiver operating characteristic curve.