Research Paper Volume 15, Issue 2 pp 567—582

Association of SMC4 with prognosis and immune infiltration of sarcoma

class="figure-viewer-img"

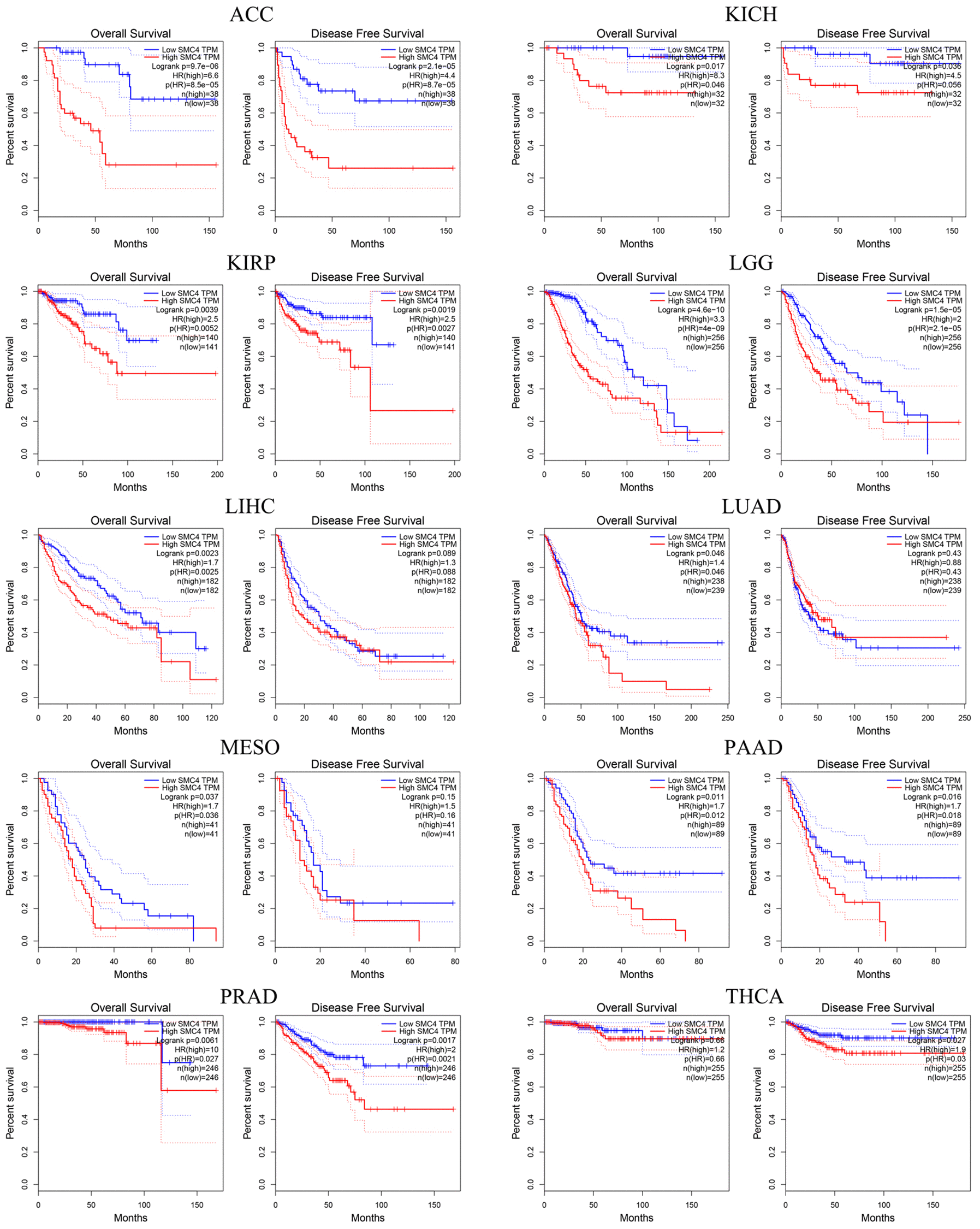
Figure 2. Prognostic significance of SMC4 in different types of human cancers using GEPIA database.