Research Paper Volume 16, Issue 4 pp 3596—3611

Causal relationship between gut microbiota and risk of esophageal cancer: evidence from Mendelian randomization study

class="figure-viewer-img"

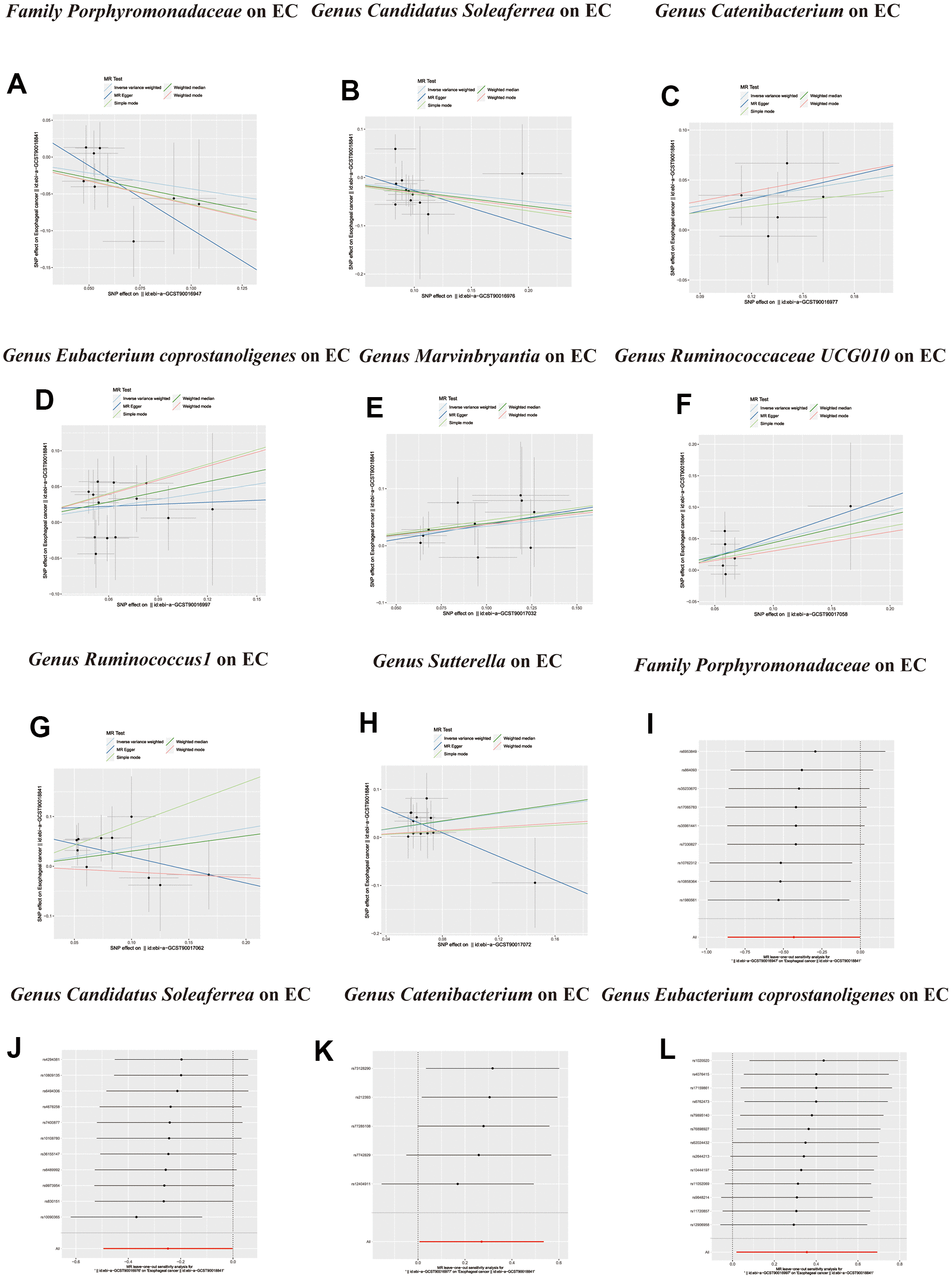
Figure 4. Scatter plots of significant causality of the GM and esophageal cancer. (AH) Scatter plot of the effect size and 95% confidence interval of each SNP on GM and Esophageal cancer risk. The horizontal axis reflects genetic effect of each SNP on GM. The vertical axis represents the genetic effect of each SNP on Esophageal cancer risk. Leave-one-out analysis for the impact of individual SNPs on the association between GM and Esophageal cancer risk. (IL) By leaving out exactly one SNP, it demonstrates how each individual SNP influences the overall estimate.