Research Paper Volume 16, Issue 11 pp 9824—9845

Age-related nomogram revealed optimal therapeutic option for older patients with primary liver cancer: less is more

class="figure-viewer-img"

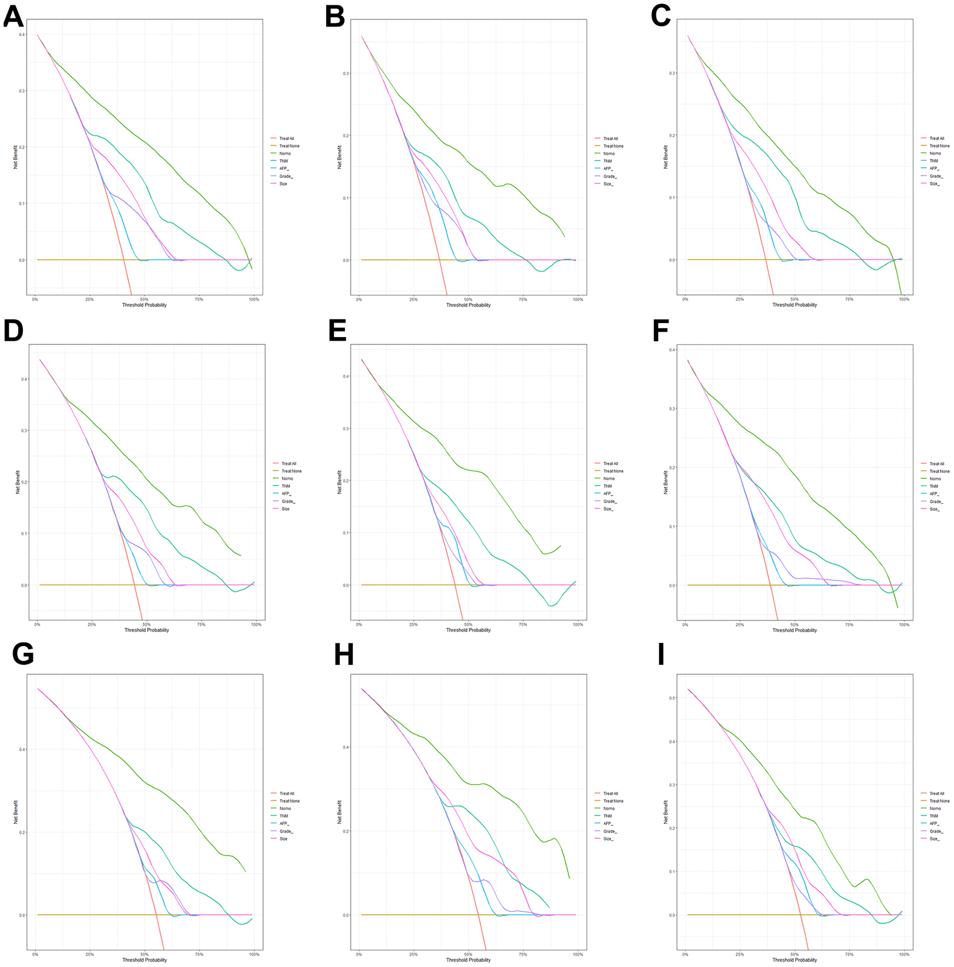
Figure 6. Comparison of clinical utility between our model and existing predicting factors. The decision curve analysis (DCA) curves for the prediction of OS based on nomogram, TNM stage, AFP, grade and Tumor size in the training, internal and external validation set of low-age group (AC), middle-age group (DF) and old-age group (GI).